這個頁面上的內容需要較新版本的 Adobe Flash Player。

取得 Adobe Flash Player

product index.html http://www.telelong.com http://www.globalsources.com/telelong.co
prevnextbeforefinallypto
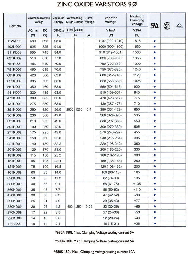
 <<At present in the Product Range / Zinc-Oxide Varistors... 8 page of 4th page>> 
0104
prev_overnext_overbefore_overfinally_overpto_over